بسم الله الرحمن الرحيم
Assalamu'alaykum Warahmatullahi Wabarakatuh
Pada Hari Rabu, 30 September 2020, Kami baru saja menyelesaikan kuliah online bersama Ibu Evy Yosrita S.Si,. M.Kom. di Kelas Aljabar Linear yang membahas Matriks. Tujuan saya membuat artikel di blog ini adalah untuk resume terhadap materi yang sudah dijelaskan oleh Ibu Evy Yosrita. Sebelumnya, penulis ingin memperkenalkan diri :
Nama : Salman Rausyan Fikri
NIM : 202031049
Fakultas Telematika Energi
Program Studi : Teknik Informatika
MATRIKS
Sebelum kita memasuki materi, ada baiknya saya memberikan beberapa poin penting mengenai matriks, di antaranya :
- Apa Itu Matriks?
- Kegunaan Matriks
- Istilah-Istilah Matriks
- Jenis-Jenis Matriks
- Operasi Matriks
Apa Itu Matriks?
Matriks adalah sekumpulan bilangan yang disusun secara baris atau kolom atau bisa kedua-duanya dan di dalam suatu tanda kurung yang bersifat real, bulat, atau bisa kedua-duanya. Bilangan-bilangan yang membentuk suatu matriks disebut sebagai elemen-elemen matriks.
Kegunaan Matriks
Matriks digunakan untuk menyederhanakan penyampaian data, sehingga mudah untuk diolah. Sebagai contoh : Diketahui jumlah penjualan sepeda jenis A,B dan C dengan harga jual masing-masing 18,30 dan 60 (terhitung dalam juta) pada kota-kota X,Y dan Z, adalah :
Data penjualan sepeda tersebut dapat dibuat dalam bentuk matriks sebagai berikut :
- Matriks Harga Jual Sepeda (Juta)
- Matriks Jumlah penjualan Tiap Kota

Istilah-Istilah Matriks
- Lambang-lambang matriks menggunakan huruf kapital (A,B,C,D,...,Z)
- Elemen matriks menggunakan lambang huruf kecil (a,b,c,d,...,z)
- Bagian mendatar/horizontal disebut baris
- Bagian tegak/vertikal disebut kolom
- Indeks "i" menyatakan baris dan indeks "j" menyatakan kolom
- Jumlah baris = m dan jumlah kolom = n
- Matriks dengan jumlah baris = m dan jumlah kolom = n disebut dengan ukuran (m x n) atau berordo (m x n)
- Elemen matrik dapat berupa bilangan bulat, desimal, riil atau kompleks.
Contoh 1
- Jumlah baris a = 4 dan jumlah kolom a = 5, maka A berordo 4x5
- a32 merupakan elemen baris ke-3 dan kolom ke-2 adalah 0.001
- Elemen-elemen diagonal matriks A : 1, π, √3, 1
Contoh 2Perhatikan jaringan berikut!
aij = 1, jika node i dan j terhubung dan 0, jika node i dan j tidak terhubung Matriks jaringannya adalah sebagai berikut!
- Matriks Persegi/Bujur Sangkar ➙ n x n
- Matriks Persegi Panjang ➙ m x n
- Matriks Segitiga
- Matriks Baris ➙ 1 x n
- Matriks Kolom ➙ m x 1
- Matriks Identitas
- Matriks Nol
- Matriks Skalar
- Matriks Diagonal
- Matriks Transpose
- Matriks Simetris
1. Matriks Persegi/Bujur Sangkar ➙ n x n Dikatakan matriks Persegi apabila A memiliki jumlah baris dan kolom yang sama

adalah matriks berordo 3
adalah matriks berordo 2
2. Matriks Persegi Panjang ➙ m x n
- Tegak/Vertikal apabila m > n

Berordo 3 x 2
- Mendatar/Horizontal apabila n > m
Berordo 2 x 3
3. Matriks SegitigaDikatakan matriks segitiga atas apabila angka di bawah diagonal utama pada matriks bujur sangkar adalah nol.

Dikatakan matriks segitiga bawah apabila angka di atas diagonal utama pada matriks bujur sangkar adalah nol
- Diagonal utama dan diagonal sekunder itu yang mana sih?
Matriks baris merupakan matriks yang hanya berupa satu baris atau berordo 1 x n
Contoh :
- A = (1 3 4 9 6 4 8) berordo 1 x 7
- B = (1 3 2) berordo
1 x 3
5. Matriks Kolom ➙ m x 1Matriks kolom merupakan matriks yang hanya berupa satu kolom atau berordo m x 1
Contoh :
Berordo 3 x 1- B =
Berordo 3 x 1
6. Matriks Identitas Dikatakan Matriks Identitas apabila A adalah matriks bujur sangkar di mana semua elemen kecuali diagonal utama adalah "nol" dan elemen diagonal utama semuanya adalah 1. Matriks identitas diberi lambang "I".
Contoh :
7. Matriks Nol
Dikatakan Matriks Nol karena setiap unsurnya adalah 0, ditulis dengan huruf "O".
Contoh :
8. Matriks Skalar
Dikatakan Matriks Sekalar apabila seluruh unsur-unsur dalam diagonal utama adalah sama dan selainnya adalah nol
Contoh :
9. Matriks Diagonal
Dikatakan Matriks Diagonal apabil A adalah matriks bujur sangkar di mana semua elemen di luar diagonal utama adalah nol dan diagonal utama bukan nol. Matriks Diagonal diberikan lambang berupa "D".
Contoh :
10. Matriks TransposeTranspose matriks merupakan baris menjadi kolom dan sebaliknya. Jika matriks A ditranspose, maka baris 1 menjadi kolom 1, baris 2 menjadi kolom 2 dan begitu seterusnya.
Contoh :
Contoh :
11. Matriks Simetris ➙ A =
AᵀDikatakan Matriks Simetris apabila A adalah matriks bujur sangkar di mana Aᵀ = A
Contoh :
12. Matriks Skew Simetris
Dapat dikatakan Matriks Skew Simetris apabila suatu matriks bujur sangkar ditransposkan akan sama dengan negatif dari matriks semula. Misalkan matriks A adalah matriks bujur sangkar. Agar matriks A dapat dikatakan sebagai Matriks Skew Simetris, maka Transpos A sama dengan -A (Aᵀ = -A). Syarat lainnya adalah semua elemen yang berada di diagonal utama adalah bernilai nol.
Contoh :
Operasi Matriks
Operasi Aritmatik Matriks
Kesamaan (A=B)
Perkalian dengan Skalar kA
Penjumlahan Matriks (A + B)
Pengurangan Matriks (A - B)
Perkalian Matriks (AB = C)
1. Kesamaan (A = B)
Dikatakan Matriks Kesamaan apabila kedua matriks tersebut memiliki ordo dan elemen-elemen yang sama dan bersesuian. Apabila disimbolkan akan menjadi A = B jika aij = bij untuk setiap i dan j.
A = B
a - 2 = 1 2b = 4 c = -2
a = 3 b = 2
2. Perkalian dengan Skalar, kA
Perkalian matriks, A=(aij) dengan skalar bukan nol K ditulis kA, didefinisikan bahwa setiap elemen A dikalikan dengan konstanta tak nol k, yakni : kA = k(aij) = (kaij)
Contoh :
3. Penjumlahan (A + B)
Matriks A=(aij) dan B=(bij) dapat dikatakan penjumlahan apabila A dan B berukuran atau berordo sama. Bilamana A+B=C, maka elemen matrik diberikan : (aij) + (bij) = (cij) Elemen yang seletak dijumlahkan.
Contoh :
Sifat-Sifat Penjumlahan :
A + B = B + A (Sifat Komutatif)
(A + B) + C = A + (B + C) (Sifat Asosiatif)
A + Z = Z + A = A (Z adalah identitas penjumlahan)
A + ( – A) = ( –A) + A = Z (–A merupakan invers penjumlahan dari A)
4. Pengurangan (A - B)
Matriks A=(aij) dan B=(bij) dapat dikatakan pengurangan apabila A dan B berukuran atau berordo sama. Bilamana A-B=D, maka elemen matrik diberikan : (aij) - (bij) = (cij) Elemen yang seletak dijumlahkan.
A-B=D
5. Perkalian Matriks (AB = C)
Matriks A=[aij](m=n) dan B=[bij](pxq) dikatakan dapat dikalikan ditulis AB bilamana jumlah kolom A dan jumlah baris B sama. [n=p]
A(mxn)B(pxq) = C(mxq)
Contoh :
Fungsi determinan matriks berupa persegi atau bujur sangkar A dinyatakan dengan det[A] = |A|, didefinisikan sebagai penjumlahan dari hasil kali elementer elemen-elemen yang bertanda "A".
Pada Kasus "n=1", Perhatikan :
A = [a], det(A) = |a| = a
Pada Kasus "n=2"
det(A) = ad - bc
Pada Kasus "n=3", Menggunakan Metode Sarrus
dengan menggunakan metode Sarrus, det(A) = |A|

Metode Ekspansi Laplace
A adalah matriks persegi atau bujur sangkar berordo (nxn)
Minor elemen matriks A baris ke-i dan kolom ke-j (a-ij) ditulis Mij diartikan sebagai determinan matriks yang berordo (n-1)x(n-1) yang diperoleh dari A dengan cara menghilangkan baris ke-i dan kolom ke-j.
Kofaktor elemen matriks A merupakan baris ke-i dan kolom ke-j ditulis C-ij didefinisikan sebagai :
Teman-teman bisa cek video saya mengenai pembelajaran matriks, berikut saya sertakan berupa link :
Andaikan, A=[aij](nxn), dan (a11)≠0, maka :
Rumus metode Chio dikenal juga dengan rumus mereduksi ordo atau ukuran matriks. Reduksi ordonya dapat juga menggunakan elemen matriks yang lain, tidak harus menggunakan a11.
Contoh
Karena a11 = -1 dan n=3, maka :
Contoh
Metode Crout Dekomposisi
Rumus umum untuk mencari L dan U dengan metode Crout adalah :
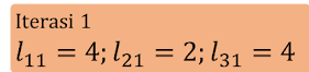
Dalam membahas metode reduksi Crout, tinjau matriks 3x3 berikut :
Karena LU = A, maka hasil perkalian L dan U itu dapat ditulis sebagai :
Iterasi 2
Iterasi 3
Iterasi 4
Iterasi 5
CONTOH :
Hitunglah determinan matriks 3x3 berikut dengan metode dekomposisi Crout
Kasus n=4 : Metode Crout
Rumus iterasi perhitungannya adalah :
Contoh :
Hitunglah determinan matriks 4x4 berikut dengan metode dekomposisi Crout
Metode Dekomposisi Doolittle
Dengan rumus umum